Here are the solutions to homework:
Homework 1
Homework 2
Quiz 2
Quiz 4
Homework 4 problem 0-1
Homework 4 problem 2-3
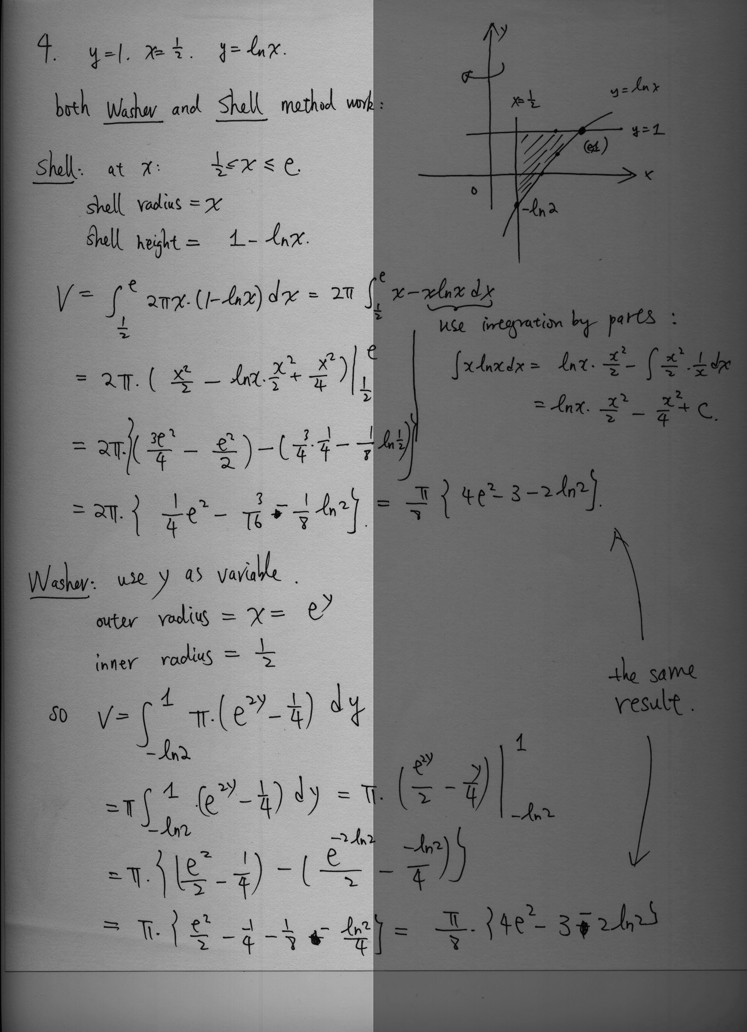
Homework 4 problem 4
Homework 4 problem 5
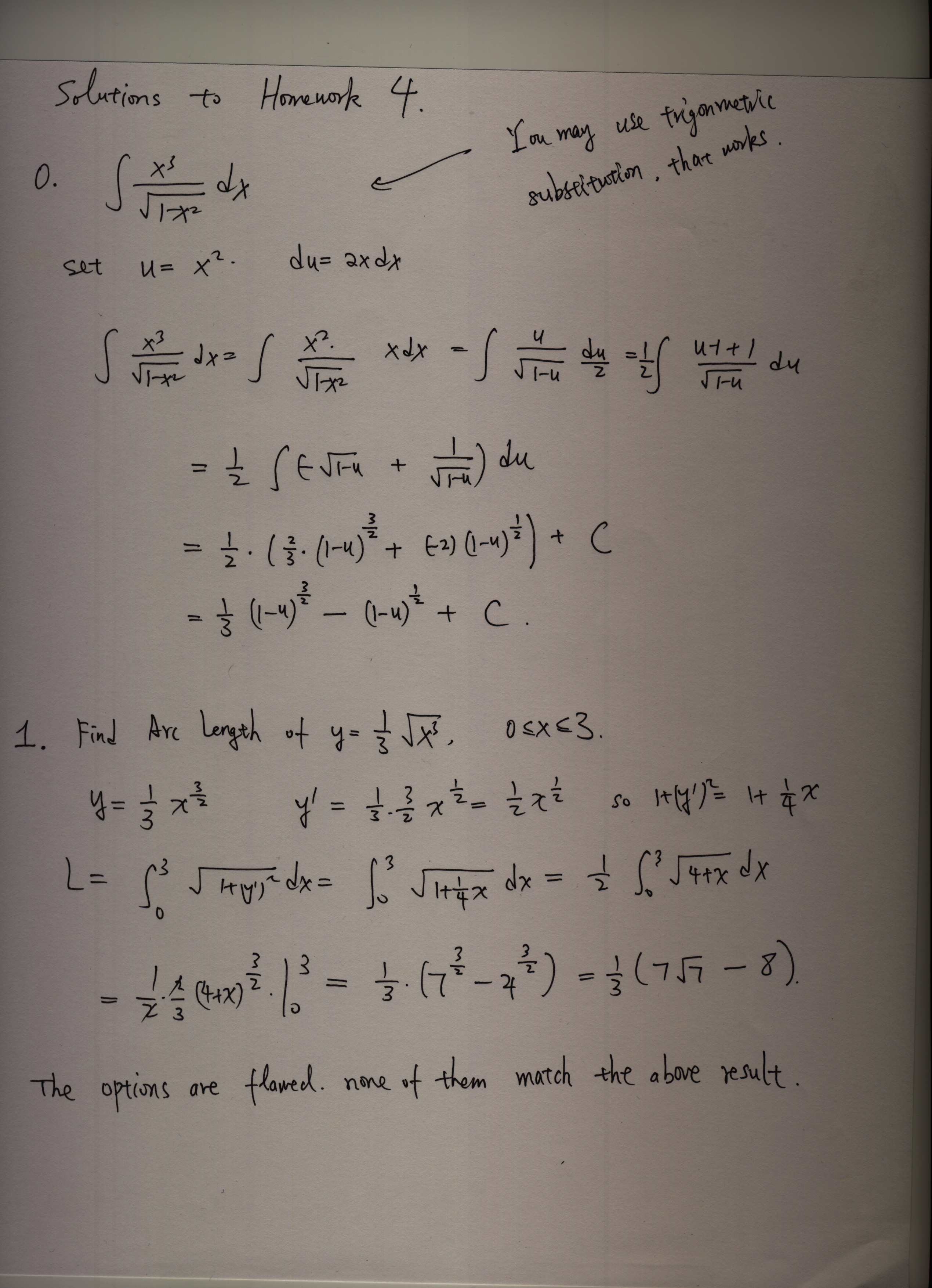
Homework 4 problem 6
Homework 4 problem 7
Quiz 5
Homework 5 problem 1
Homework 5 problem 2
Homework 5 problem 3
Homework 5 problem 4
Homework 5 problem 5
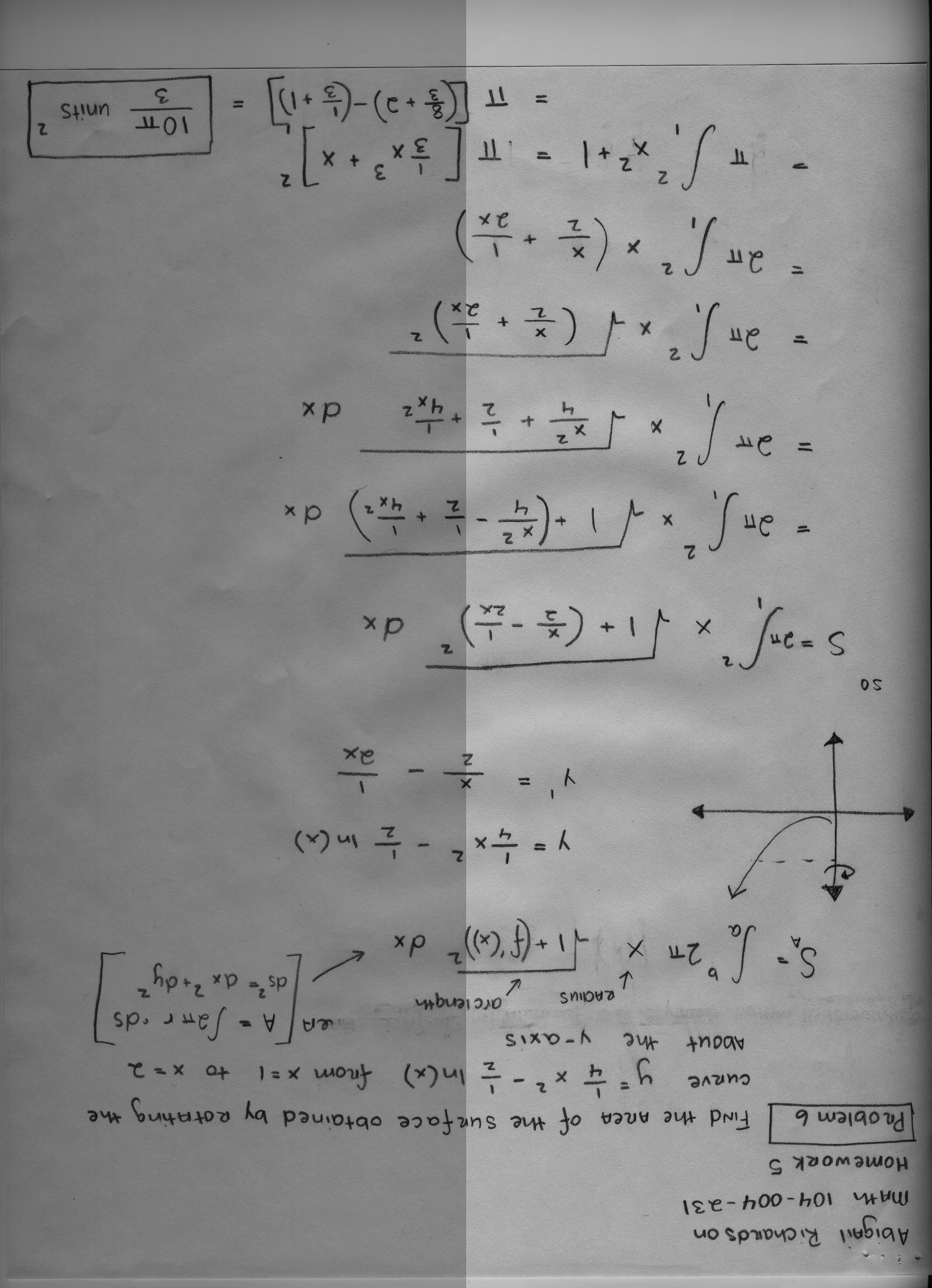
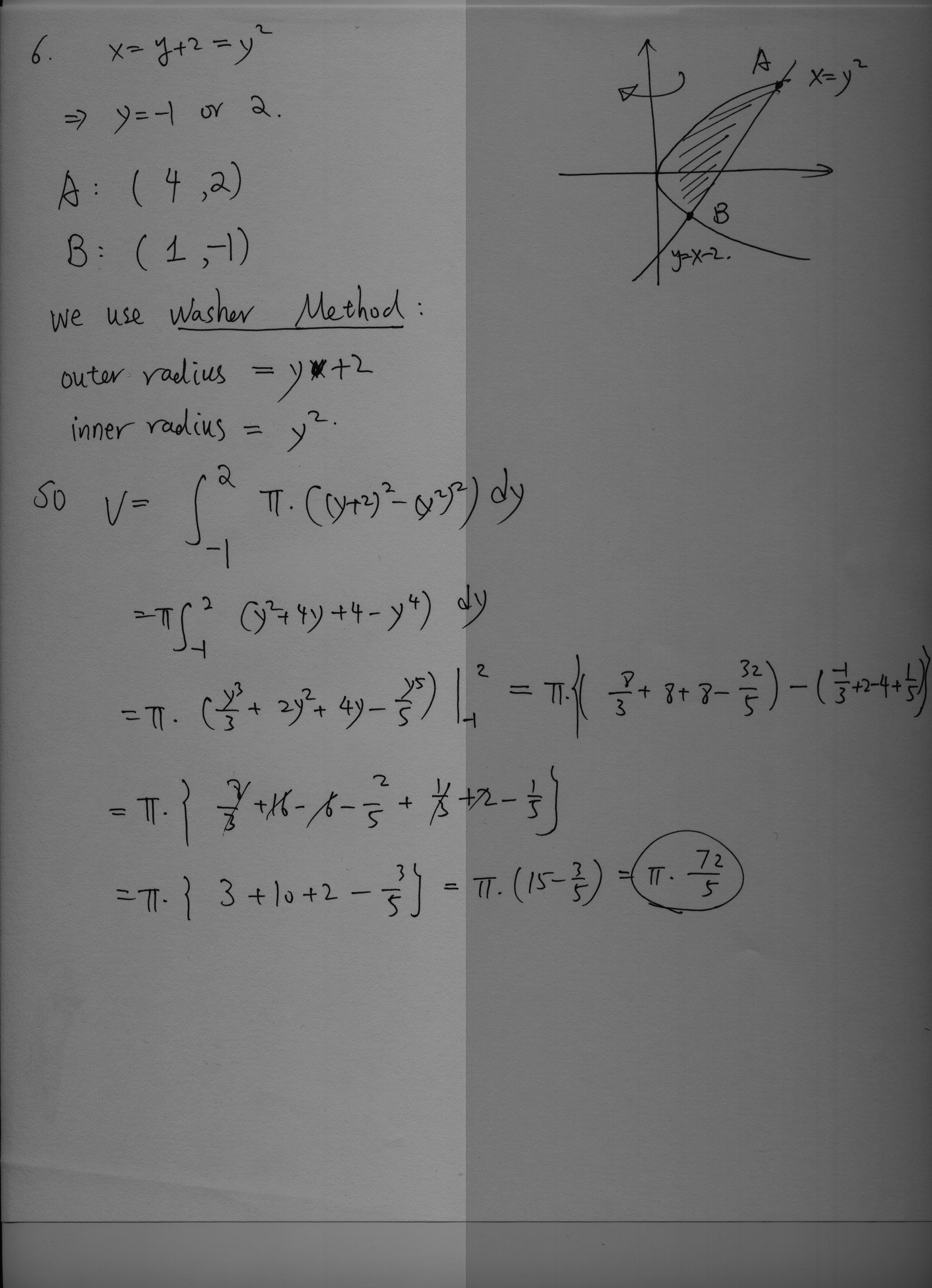
Homework 5 problem 6
Quiz 7
Homework 7
Quiz 8
Homework 8
Quiz9

Back