Dr. D's solutions to Homework 1
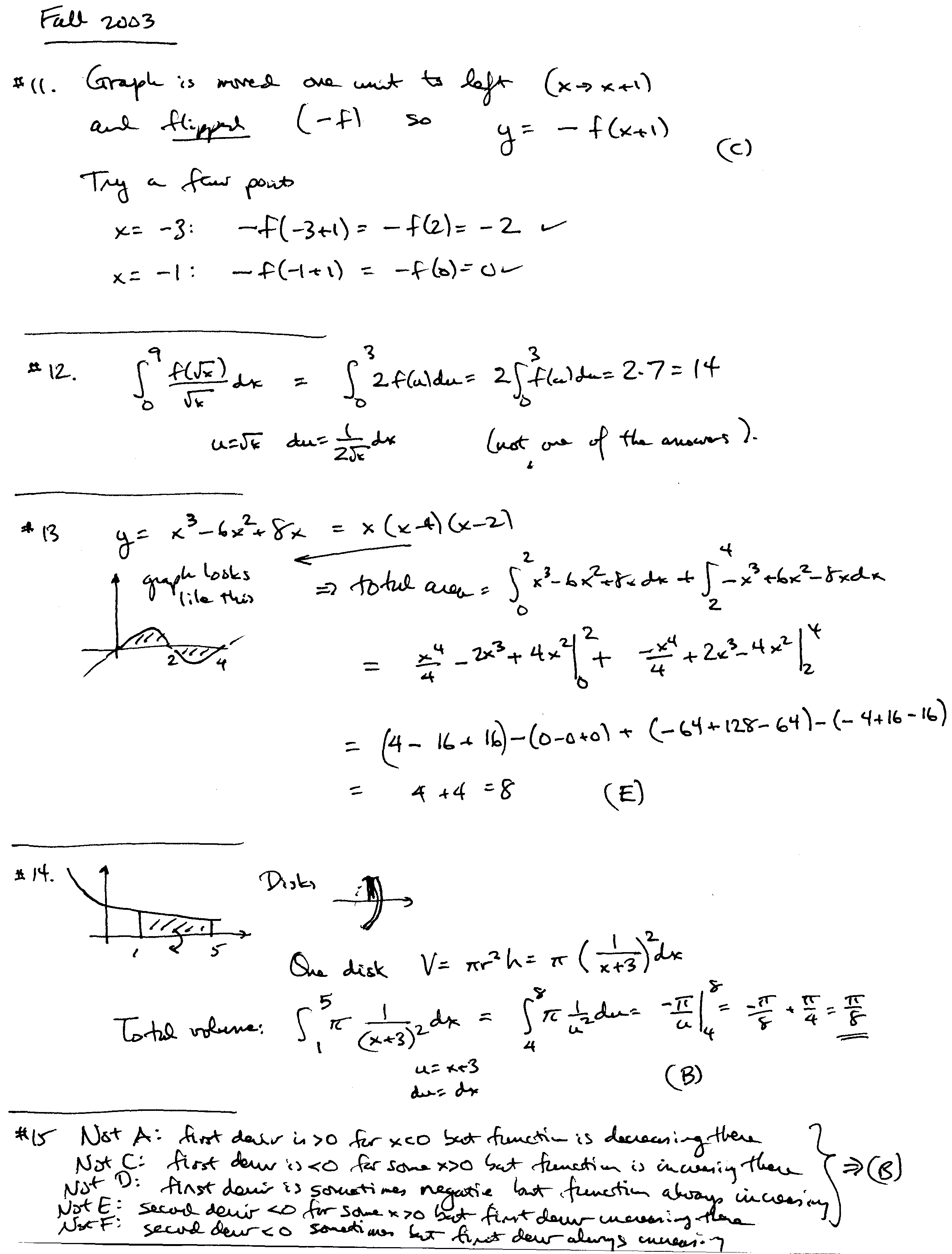
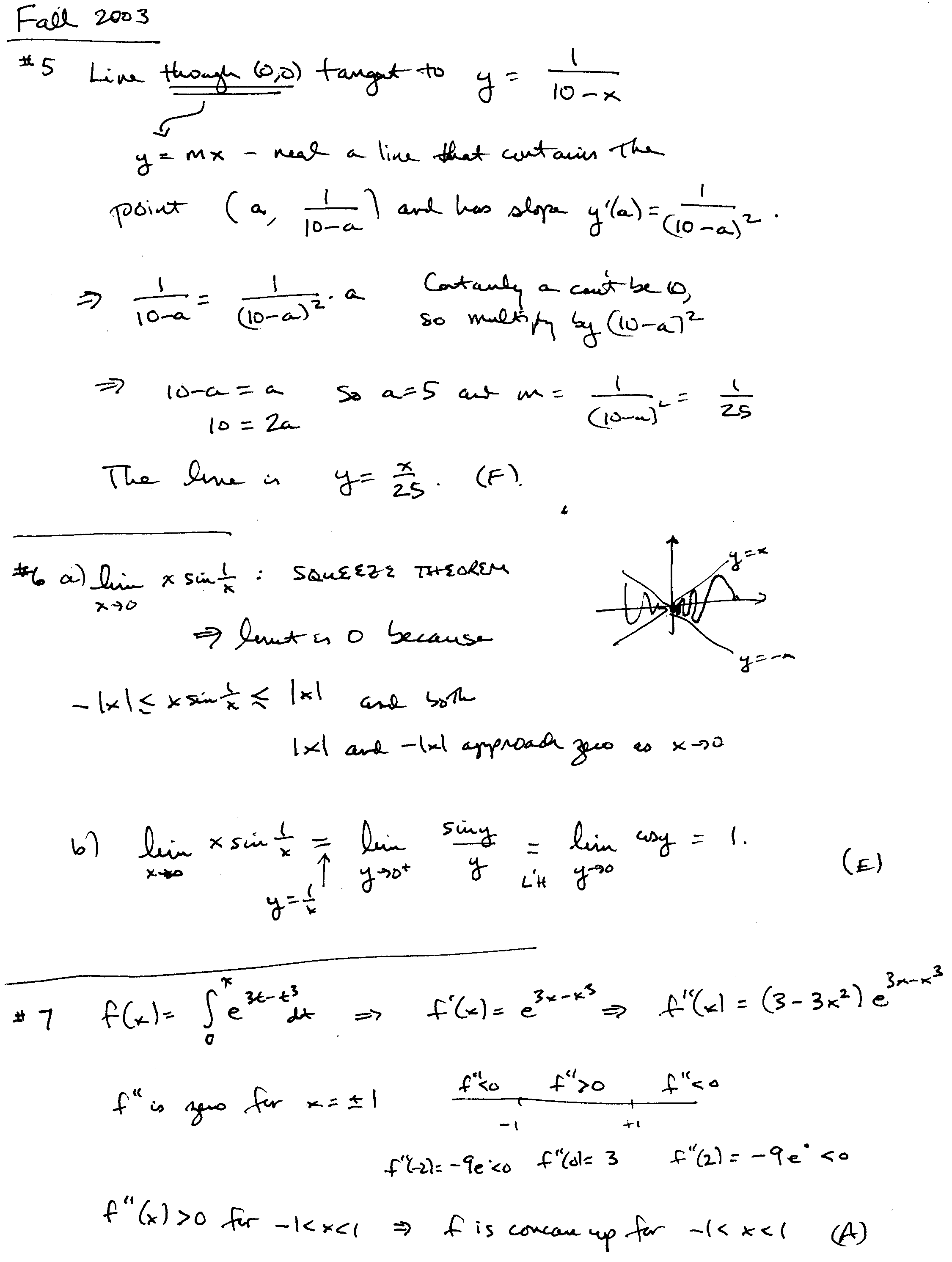
Fall 2003 exam
page 1
page 2
page 3
page 4
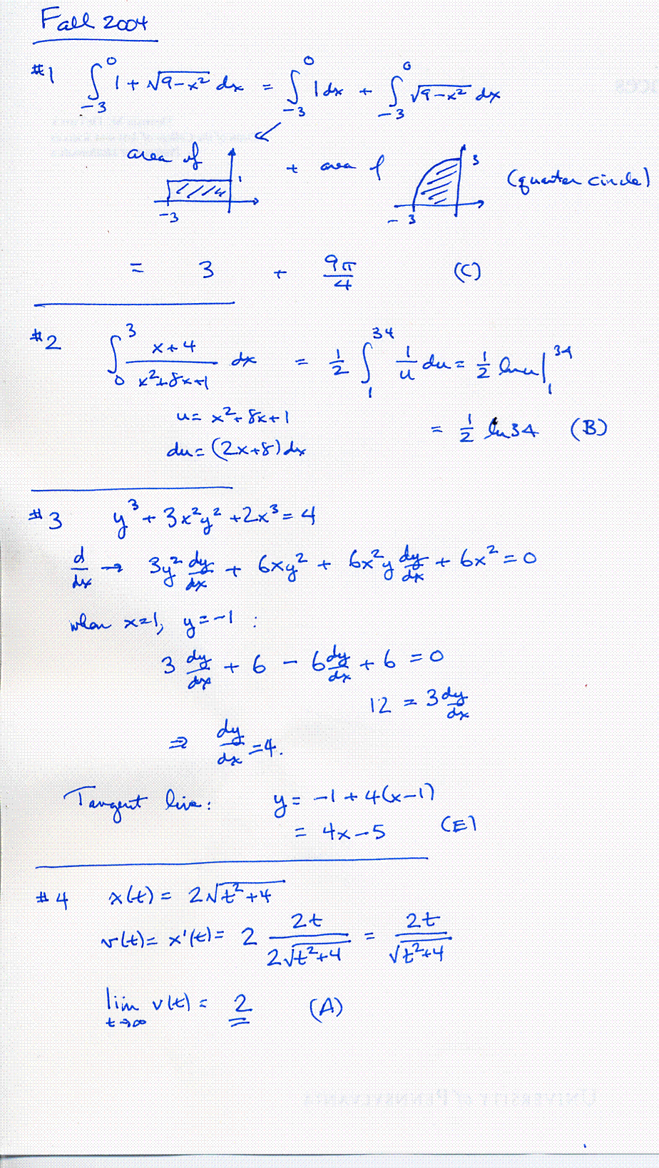
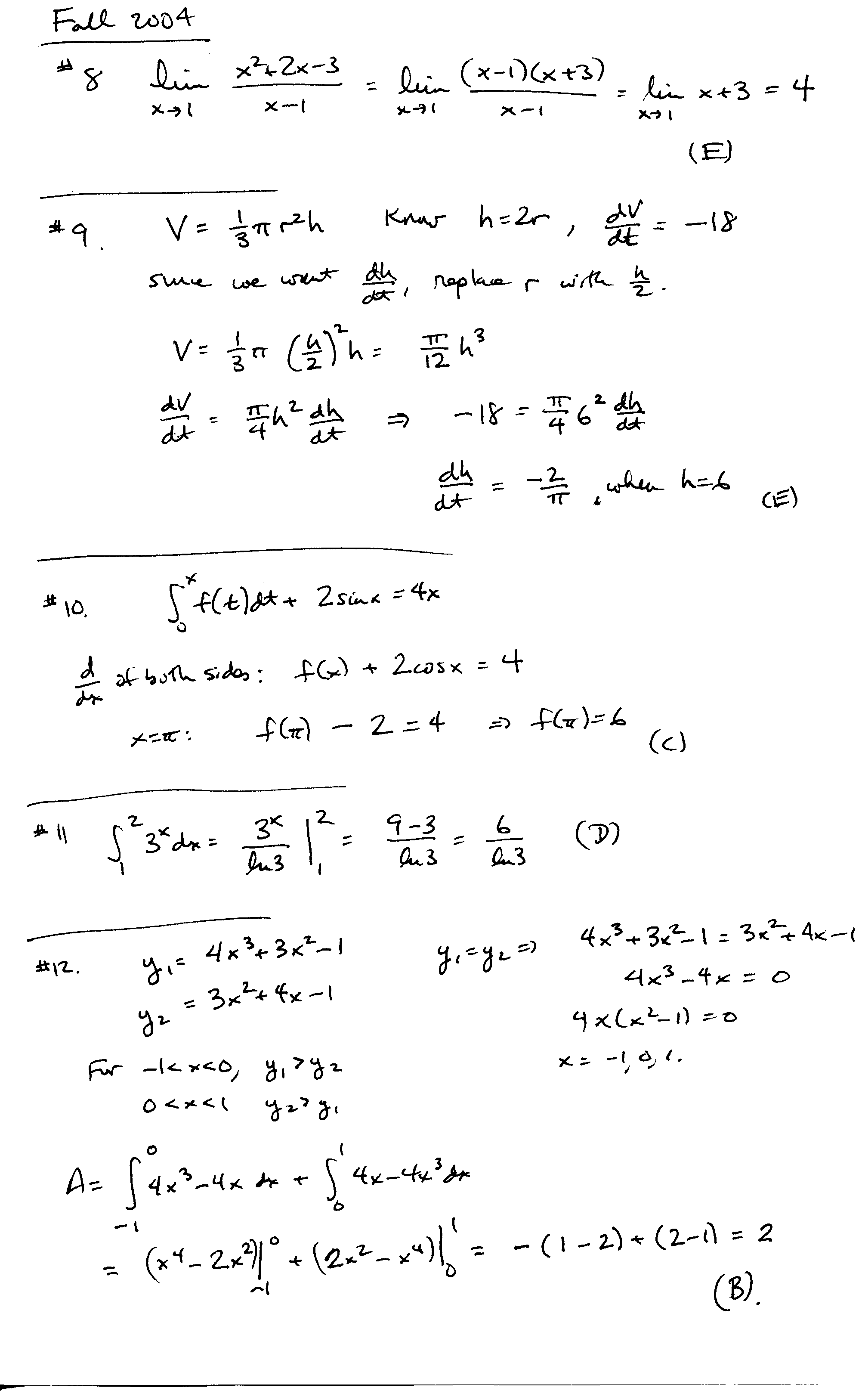
Fall 2004 exam
page 1
page 2
page 3