Surfaces of revolution: volume and surface area.

A "surface of revolution" is formed when a curve is revolved around a line (usually the x or y axis). The curve sweeps out a surface.

[Maple Plot]

Interesting problems that can be solved by integration are to find the volume enclosed inside such a surface or to find its surface area.


Volumes: You might already be familiar with finding volumes of revolution.

Once a surface is formed by rotating around the x-axis, you can sweep out the volume it encloses with disks perpendicular to the x axis.


Here is the surface formed by revolving y = [Maple Math] around the x axis for x between 0 and 2, showing the disks sweeping out the volume:

[Maple Plot]

To calculate the volume enclosed inside the surface, we need to add up the volumes of all the disks. The disks are (approximately) cylinders turned sideways, and the disk centered at (x,0) has radius [Maple Math] and width (or height) dx. The volume of the disk is thus [Maple Math] , or [Maple Math] , so to find the total volume of the solid we have to integrate this quantity for x from 0 to 2. We get

V = [Maple Math] = [Maple Math] (cubic units).


In general, if the piece of the graph of the function of y=f(x) between x = a and x = b is revolved around the x axis, the volume inside the resulting solid of revolution is calculated as:

V = [Maple Math] .

The same sort of formula applies if we rotate the region between the y-axis and a curve around the y-axis (just change all the x's to y's).


A different kind of problem is to rotate the region between a curve and the x axis around the y axis (or vice versa). For instance, let's look at the same region (between y=0 and y= [Maple Math] for x between 0 and 2), but rotated around the y axis instead:

[Maple Plot]


Here is the surface being swept out by the generating curve:

[Maple Plot]


We could sweep out this volume with "washers" with inner radius [Maple Math] and outer radius 2 as y goes from 0 to [Maple Math] -- this would look like the following:

[Maple Plot]

Each washer is (approximately) a cylinder with a hole in the middle. The volume of such a washer is then the volume of the big cylinder minus the volume of the hole.



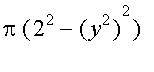
For the washer centered at the point (0,y), the radius of the outside cylinder is equal to 2 (all of them are the same), and the radius of the hole is equal to x (which, since [Maple Math] , is equal to [Maple Math] ). And the height of the washer is equal to dy. So the volume of the washer is [Maple Math] dy = ( [Maple Math] )dy.


Therefore the volume of the entire solid is

[Maple Math]

cubic units.


Another way to sweep out this volume is with "cylindrical shells". These look like this:

[Maple Plot]


Each cylindrical shell, if you cut it along a vertical line, can be laid out as a rectangular box, with length [Maple Math] , with width [Maple Math] and with thickness dx. The volume of the cylindrical shell that goes through the point [x,0] is thus [Maple Math] , and so we can calculate the volume of the entire solid to be:

[Maple Math]

cubic units, which agrees with the answer we got the other way.


Another family of volume problems involves volumes of three-dimensional objects whose cross-sections in some direction all have the same shape.

For example: Calculate the volume of the solid S if the base of S is the triangular region with vertices (0,0), (2,0) and (0,1) and cross sections perpendicular to the x-axis are semicircles.

First, we have to visualize the solid. Here is the base triangle, with a few vertical lines drawn on it (perpendicular to the x-axis). These will be diameters of the semicircles in the solid:

[Maple Plot]


Now, we'll mak the three-dimensional plot that has this triangle as the base and the semi-circular cross sections.

[Maple Plot]


From that point of view you can see some of the base as well as the cross section. We'll sweep out the volume with slices perpendicular to the x-axis, each will look like half a disk:

[Maple Plot]


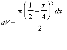
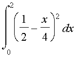
Since the line connecting the two points (0,1) and (2,0) has equation y = 1 - x/2, the centers of the half-disks are at the points (x,1/2 - x/4), and their radii are likewise 1/2 - x/4. Therefore the little bit of volume at x is half the volume of a cylinder of radius 1/2 - x/4 and height dx, namely [Maple Math] . Therefore, the volume of the solid S is:

[Maple Math] [Maple Math] , which evaluates to:

[Maple Math]


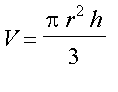
Note that we could also have calculated the volume by noticing that the solid S is half of a (skewed) cone of height 2 with base radius = 1/2. Using the formula [Maple Math] for a cone, we arrive at the same answer, [Maple Math] cubic units.


This picture is for one of the homework exercises:

[Maple Plot]

>