Formulas for areas, lengths and volumes:

It is sometimes convenient to use the formulas to find areas, lengths and volumes. In case you would like to memorize the formulas and use them, too, here is a collection of them:

Areas:

1. Area between two curves given as y = f(x) and y=g(x) -- Figure out which is on top and which is on the bottom -- say f is on top and g is bottom, then to find area do the integral:

[Maple Math]

where a and b are either specified in the problem or determined as intersections of the curves.

2. Area between two curves given as x = f(y) and x = g(y) -- Figure out which is to the right and which is to the left --say f is to the right and g is to the left, then to find the area do the integral:

[Maple Math]

where c and d are either specified in the problem or determined as intersections of the curves.

3. Area between two curves given parametrically as x=f(t), y=g(t) -- To calculate area between the curve and the x axis, be sure that parametrization takes you from left to right, then integrate [Maple Math]

where a and b are determined by where the curve starts and ends. This formula can also be used for loops that are traversed clockwise.

To calculate the area between the curve and the y axis, be sure that the parametrization takes you from down to up, then integrate:

[Maple Math]

where c and d are determined by where the curve starts and ends. This formula can also be used for loops that are traversed counterclockwise.

4. Area between polar curves [Maple Math] and [Maple Math] . Recall that for polar area you have to integrate [Maple Math] . Determine which is the outer curve and which is inner (say f and g respectively) and then integrate:

A = [Maple Math] .

Volume

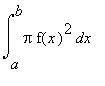
1. Volume of solid of revolution obtained by revolving y=f(x) around the x axis.

Disk method: Integrate [Maple Math] where a and b determine the ends of the curve.

If there are two curves (washer method) , upper and lower, y=f(x) and y=g(x) , then volume of revolution between the curves around the x axis is

[Maple Math] = [Maple Math] .

2. Volume of solid of revolution obtained by revolving y=f(x) around the y axis:

Shell method: Integrate [Maple Math] where a and b determine the ends of the curve.

If there are two curves, upper and lower, y=f(x) and y=g(x), then volume of revolution between the curves around the y axis is

[Maple Math] .

3. Volume of solid of revolution obtained by revolving x=g(y) around the y axis -- this is like #1 above with x and y reversed. The formula is (disks or washers)

V = [Maple Math]

4. Volume of solid of revolution obtained by revolving x=g(y) around the x axis -- this is like #2 above with x and y reversed. The formula is (shells)

V = [Maple Math] .

5. For parametric curves, use one of the above formulas and remember to calculate dx or dy by differentiating the x function or the y function.

Arc length

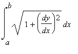
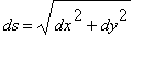
The formula is always Arclength = the integral of [Maple Math]

1. For curves given parametrically x = f(t), y=g(t), the formula becomes:

L = [Maple Math] where a and b are determined by the ends of the curve.

2. For a curve given as y = f(x), the formula becomes:

L = [Maple Math]

3. For a curve given as x=g(y) the formula becomes:

L = [Maple Math]

4. For a polar curve [Maple Math] the formula becomes:

[Maple Math] .

Surface area:

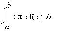
1. The area of a surface of revolution gotten by revolving any curve around the y axis is

[Maple Math] -- where [Maple Math] .

(a) -- If the curve is given as y=f(x), then the integral becomes

SA = [Maple Math]

(b) If the curve is given as x=f(y) then the integral becomes

SA = [Maple Math]

(c) If the curve is given parametrically x= f(t), y=g(t) then the integral becomes

SA = [Maple Math] = [Maple Math]

2. If the rotation is around the x axis, then you have to replace all the x's outside the square root signs in 1(a), 1(b) and 1(c) by y's (or f(t) by g(t) in 1(c)). For rotations about the x axis, probably 1(b) (with the letters reversed!) is the most useful.

That's it -- all the formulas we have!